This page showcases only a selection of my work. A complete list of my publications can be found at Google Scholar profile.
Notations: * equal-contributed authors, # corresponding author.

Ruiqi Wang, Pinjun Zheng#, Vijith Varma Kotte, Sakandar Rauf, Yiming Yang, Muhammad Mahboob Ur Rahman, Tareq Y. Al-Naffouri, Atif Shamim
IEEE Journal on Selected Areas in Communications Journal
This paper presents the concept, design, channel modeling, beamforming algorithm, prototype fabrication, and experimental measurement of an electromagnetically reconfigurable fluid antenna system (ER-FAS), in which each FAS array element features electromagnetic (EM) reconfigurability. Unlike most existing FAS works that investigate spatial reconfigurability, the proposed ER-FAS enables direct control over the EM characteristics of each element, allowing for dynamic radiation pattern reconfigurability.

Pinjun Zheng*, Simon Tarboush*, Hadi Sarieddeen, Tareq Y. Al-Naffouri
IEEE Transactions on Wireless Communications Journal
Our previous studies have already proved that mutual coupling is critical in densely integrated arrays in applications such as holographic communications. Neglecting this effect in such applications can lead to severe model mismatches and performance degradation. This paper is the first to comprehensively address the challenges of mutual coupling-aware channel estimation and beamforming in RIS-aided communications, proposing a set of algorithms that outperform existing benchmarks.

Pinjun Zheng#, Yuchen Zhang, Tareq Y. Al-Naffouri, Md. Jahangir Hossain, Anas Chaaban
Under review Preprint
In this work, we investigate a tri-hybrid MIMO architecture for multi-user communication that combines digital, analog, and antenna-domain precoding through the use of pattern-reconfigurable antennas. We develop two foundational models to characterize the tri-hybrid MIMO system, propose corresponding precoding algorithms with quadratic complexity, and evaluate system performance using realistic ray-tracing simulations.

Pinjun Zheng, Ruiqi Wang#, Atif Shamim, Tareq Y. Al-Naffouri
IEEE Transactions on Wireless Communications Journal
We show how to correctly model the RIS mutual coupling within the cascaded channel and how to obtain a realistic evaluation of the scattering parameters in the model based on a real RIS prototype. Both full-wave simulation and experimental validation are conducted.

Pinjun Zheng, Xing Liu#, Tareq Y. Al-Naffouri
IEEE Journal on Selected Areas in Communications Journal
In this paper, we address the 9D user tracking problem within a hybrid terrestrial and non-terrestrial wireless system that integrates LEO satellites and RISs. We propose a novel Riemannian manifold-based UKF method to simultaneously track the 3D position, 3D velocity, and 3D orientation of a ground user.

Hui Chen*#, Pinjun Zheng*, Musa Furkan Keskin, Tareq Y. Al-Naffouri, Henk Wymeersch
IEEE Transactions on Wireless Communications Journal
We show that with the involvement of sufficient RISs, sidelink positioning without any base stations is possible.

Pinjun Zheng, Hui Chen#, Tarig Ballal, Mikko Valkama, Henk Wymeersch, Tareq Y. Al-Naffouri
IEEE Transactions on Wireless Communications Journal
Since our work published at ICASSP 2023 demonstrates that the geometric calibration of RIS is a key bottleneck in practical implementation, this paper aims to address the joint RIS calibration and user positioning (JrCUP) problem.

Pinjun Zheng, Tarig Ballal, Hui Chen#, Henk Wymeersch, Tareq Y. Al-Naffouri
IEEE Transactions on Wireless Communications Journal
Proposed a 3D AOSA antenna structure, and a quantitative analysis is provided to demonstrate that it can enhance the coverage of terahertz communication and localization, as anticipated.

Pinjun Zheng, Xing Liu, Tarig Ballal, Tareq Y. Al-Naffouri
EUSIPCO 2023 Conference
Apart from the localization techniques introduced by 5G/6G, GNSS has long been the dominant solution for positioning. With the rapid advancement of mobile radio localization technology, we envision a synergistic relationship with GNSS, where both systems are mutually enhanced, rather than merely replacing one another. In this paper, we investigate a user localization problem based on the integration of the GNSS RTK observations and 5G geometric channel parameters.

Pinjun Zheng, Tarig Ballal, Hui Chen, Henk Wymeersch, Tareq Y. Al-Naffouri
IEEE ICASSP 2023 Conference
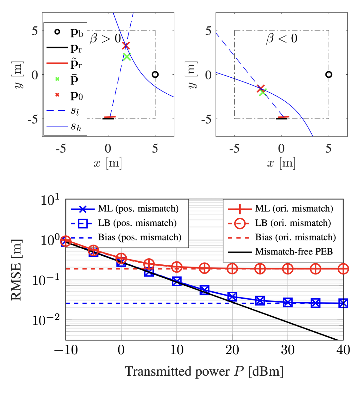
RIS is a key technology for future 6G networks, particularly for its substantial role in enhancing localization and sensing. However, current research often assumes perfect prior knowledge of RIS position and orientation, which is impractical in real-world scenarios. Before this work, the impact of overlooking these errors on localization and sensing performance remained unclear. This paper addresses this gap by providing a quantitative analysis of localization performance degradation due to RIS state information mismatch using MCRB theory.